暴露:漏洩した内部文書により、製薬業界がロバート・F・ケネディ・ジュニア氏を潰すために行った200万ドル規模の必死の作戦が明らかになりました。上院議員、CDC内部関係者、そして腐敗した医療団体が連携し、アメリカ国民と完全なバイオメディカル専制政治の間に立ちはだかる唯一の人物を沈黙させるための全面戦争を仕掛けています。
200万ドルでロバート・F・ケネディ・ジュニア氏を抹殺する
戦争が進行中です。そして標的はウイルスではありません —— それはロバート・F・ケネディ・ジュニア氏、保健福祉省長官です。内部でひざまずくことを拒む唯一の人物です。
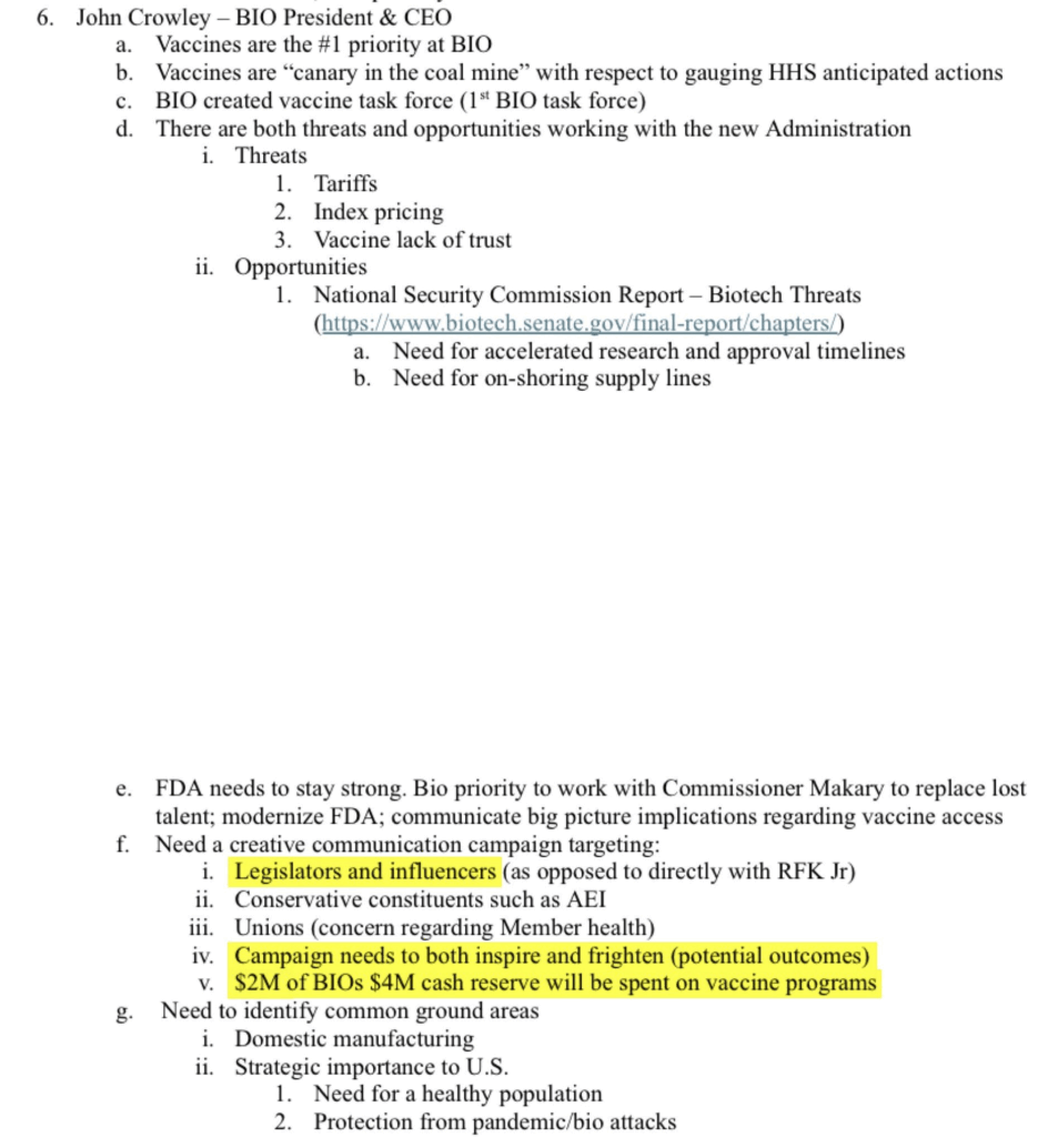
製薬業界のカルテルが核兵器級の発展を遂げました。ブラウンストーン研究所によって暴露された内部メモの流出により、Pfizer、Moderna、Merck、Eli Lilly、そしてJohnson & Johnsonのロビー活動部門である組織(BIO)が主導する計画が明らかになりました。
彼らの使命は?
そろそろザ・ヒルへ赴き、ロビー活動を行う時が来たのです。ロバート・F・ケネディ・ジュニア氏の退任を求めるべき時が来ていると訴えるために。

当該文書によりますと、BIOは総額400万ドルの予備資金の半分にあたる200万ドルを拠出し、議員、メディア機関、インフルエンサーを対象とした影響力行使の集中キャンペーンを展開する方針です。その目的は、ロバート・F・ケネディ・ジュニア氏の改革が定着する前に、同氏の活動を封じ込めることにあります。
これは単なるロビー活動ではありません。これは体制レベルの妨害工作です。


彼らがロバート・F・ケネディ・ジュニア氏を恐れる理由
そのメモは明確に示していました:ロバート・F・ケネディ・ジュニア氏とMAHAは、ワクチン産業複合体にとって存亡に関わる脅威です。ワクチン供給源は枯渇しつつあります。製薬業界関係者はパニック状態です。Vaccyteの執行副社長兼最高執行責任者であるジム・ワシル氏は、この深刻な状況を認めています:
「現在の環境下では資金調達の機会がありません。」
「今後6~9か月間は、投資家は様子見の状態が続く見込みです。」
「ワクチンの承認までの道筋は予測が困難です。」
ロバート・F・ケネディ・ジュニア氏は、彼らの独占体制を破壊しています。
彼は単なる発言に留まりません。官僚を排除し、回転ドアを閉鎖し、幕の後ろに隠された数十億ドルを暴露しているのです。彼らがかつて描いた、世界規模の強制医療計画は今や崩壊の途上にあります。
9月が締切となります
BIOのメモには、9月に向けて急ピッチで進むスケジュールが記されていました。そして今、9月が到来しました。私たちは今まさに、製薬業界におけるクーデターが展開される様子を目の当たりにしているのです:
- 上院議員の方々が公に彼の辞任を求めています。
- CDC内部関係者による妨害工作計画が漏洩しています。
- 大手メディアは、まるで国営の宣伝省のように指示に従っています。
8月30日、バーニー・サンダース上院議員が攻撃を開始しました。その要求とは?ロバート・F・ケネディ・ジュニア氏の辞任です。その理由とは?ケネディ氏の「ワクチン反対の見解」でした。
彼の証拠とは?
製薬業界の資金で埋め尽くされた組織からの引用です。
サンダース氏の「専門家」を実際に所有しているのは誰か
サンダース氏は言及しました:
- アメリカ小児科学会
- アメリカ医師会
- 世界保健機関
資金の流れを追ってみましょう:
アメリカ小児科学会:
- Pfizer、Moderna、Merck、Sanofiから50,000ドル以上
- Eli Lilly社より25,000ドル~49,000ドル
- さらに何万人もの人々から
アメリカ医師会:
- Pfizer社より100万ドル以上
- Merck、AstraZeneca、Eli Lillyより50万ドルから99万9千ドル
- Novo Nordisk社、GSK社より25万ドル~49万9千ドル
これらは医療機関ではありません。白衣を着た製薬会社の子会社です。ケネディ氏とMAHAは明確に述べています:
「これらの機関は、人々のためではなく、製薬業界のために存在しています。」
サンダース氏ですか? 彼は利益相反の問題について一切言及しませんでした。まるで雇われたインターンのように、彼らの主張をただ繰り返しただけです。
CDCの集団が動き出した
元CDC長官9名が今、組織的なメディア攻撃を開始しました。彼らはケネディ氏を「全米国民の健康を危険に晒している」と非難しています。
彼らの主張とは? 自らの権威によるものです。
「私たちは合わせて100年以上にわたり、疾病対策センター(CDC)でお勤めになりました…」
彼らはOperation Warp Speedを公衆衛生の最高峰と称賛しています。それが決定的な証拠です。なぜならOperation Warp Speedは国家的惨事だったからです。
かつてこれを擁護していたトランプ氏自身でさえ、今やロバート・F・ケネディ・ジュニア氏の意見に耳を傾け、PfizerとModernaから与えられた虚偽の情報に疑問を抱いているのです。
流れは変わりつつあります。そして製薬業界は恐怖に震えています。
彼らの嘘を一つずつ速報で暴いていく
CDCの9つの功績は、CDCがアメリカをより安全にしたと主張しています。それでは、その主張を徹底的に検証してみましょう。
☠️ 嘘その1:「1946年以降、平均寿命は66歳から78歳に伸びた。」
誤りです。
2020年以降、米国の平均寿命は急激に低下しました。25年間にわたる進歩が一気に失われました。
現在も回復には至っておりません。
☠️ 嘘その2:「CDCは喫煙率の低下に貢献した」
半分の真実。
彼らが知られたくない事実とは:
喫煙率が低下した際、タバコ業界は戦略を転換しました。
「1990年代半ばまでに、食品業界で最大手の二社はR.J.レイノルズとフィリップ・モリスでした」とケネディ氏は述べました。
「両社はタバコ科学者を食品研究所へ異動させました」
「そして、中毒性のある化学物質を添加した食品を開発し、肥満と栄養失調を同時に引き起こすように設計したのです」
その結果は? ウイルスではなく、意図的に毒を盛られた食品によって引き起こされた国家的な健康危機です。
そしてCDCは? 沈黙を守っています。
☠️ 嘘その3:「CDCはイーストパレスティナでの災害を適切に対処した」
吐き気を催すような嘘。
イーストパレスチナは生化学兵器の戦場です。
「塩化ビニル100万ポンド以上が化学的に爆発しました。」
「EPAは問題ないと言っています。住民はがんにかかっています。子供たちは7歳で思春期を迎えています。」
記者ジョーダン・チャリトン氏はこれを「ミシガン州フリント事件の再現」と表現しました。その指摘は的を射ています。
CDC(疾病対策センター)とEPA(環境保護庁)は、ノーフォーク・サザン鉄道の広報内容を鵜呑みにしたに過ぎず、科学的根拠に基づくものではありませんでした。
人々は病に倒れています。それに対し政府は「さっさと立ち去れ」とでも言わんばかりです。
ディープ・ステートの内部文書と内部妨害工作
キャリー・ミーンズがまたもや衝撃的な発言をしました:
疾病対策センター(CDC)および保健福祉省(HHS)において、トランプ大統領とケネディ長官を妨害する方法に関するメモが回覧されています。
これはまさにディープ・ステートの戦略そのものです。彼らはそれを隠そうとはしていません:
- 「私たちは彼らよりも長く持ちこたえるつもりです。」
- 「共和党は中間選挙で敗北するでしょう。」
- 「これは一時のブームに過ぎません。」
彼らはMAHA運動が収まるのを待っているところです。ケネディ氏が折れるだろうと考えているのです。アメリカ国民が忘れるだろうと考えているのです。それは間違いです。
最終章:体制がパニックに陥っている ― RFK Jr.は決して引き下がらない
CDC長官スーザン・モナレス博士の解任が突破口となりました。今やケネディ氏の改革がついに動き出しています。
今週木曜日、ロバート・F・ケネディ・ジュニア氏が上院で証言されます。そして製薬業界はあらゆる資金を投入し、この瞬間を阻止しようとしています。
彼らはあらゆる手段を講じて彼に対抗しています:
- 上院議員
- 官僚
- 有償の専門家
- メディアの群衆
- 漏洩したメモ
- 内部妨害
しかし、それだけでは不十分でしょう。なぜなら証拠は圧倒的だからです。なぜなら人々は目を覚ましているからです。なぜならロバート・F・ケネディ・ジュニア氏は決して動揺しないからです。
これがそれ
2025年9月。ロバート・F・ケネディ・ジュニア氏は歴史の分岐点に立ち、製薬業界の強力な戦力が迫る中、数十年来初めて、体制内部から私たちのために戦う人物が現れました。
寄付のためではありません。
見出しのためでもありません。
権力のためでもありません。
真実のために。健康のために。アメリカのために。どうぞお越しください。
私たちはそのメモを拝見しました。
関係者のお名前も承知しております。
そして、彼らの前に立ちはだかる人物が誰であるかも把握しております。
ロバート・F・ケネディ・ジュニア様 ― そして沈黙を拒む人々。
記事のソース:https://x.com/Holden_Culotta/status/1962992180718448709



コメント